Bina Ayat Gerak Geri
29042016 Contoh Ayat Perkataan bergerak. Sifat-sifat cahaya ialah cahaya bergerak lurus ke semua arah.
Bentuk kata yang disediakan untuk membina ayat ada 2 jenis iaitu.
Bina ayat gerak geri. Pelajar itu memberi perhatian terhadap. Briged Ke-23 bergerak ke Darwin pada bulan April. Saya segar build a band verse build modern verses construct sentences.
05112016 Bina Ayat dengan Perkataan baik. Guru disiplin sedang memperhatikan gerak-geri sekumpulan pelajar yang berada dibelakang kantin. Guru disiplin sedang memperhatikan gerak-geri sekumpulan pelajar yang berada dibelakang kantin.
Gunakan bahasa gerak-geri negatif. Gerak sekarang unit 1 dan unit 3 kita adalah 10-97 dan kod 100 lebuhraya 18 EB. Ini adalah kerana soalan yang baik menjanjikan jawapan yang baik.
Sekali sekala sweeper dilihat bergerak ke hadapan. Saya segar bina ayat bina ayat mike bina ayat masin. C mengawasi semua gerak-geri kita.
Saharuddin Abdullah SMK Sijangkang Jaya. Dari situ mereka bergerak dan menawan lapangan terbang Kota Bharu. Contextual translation of bina ayat gerak.
Nasib baik Julia hanya mendapat kecederaan ringan sahaja. Bina ayat gerak geri Malaysisch - Englisch API-Aufruf. Pantulan cahaya lebih baik dan teratur pada permukaan yang rata.
Guru disiplin sedang memperhatikan gerak-geri sekumpulan pelajar yang berada. Contextual translation of bina ayat gerak geri. Gerak balas terlazim biasanya agak berbeza dengan gerak belas tidak terlazim.
Sporozoites bergerak ke hati di mana mereka mengulangi kitaran ini. Von professionellen bersetzern Unternehmen Websites und kostenlos verfgbaren bersetzungsdatenbanken. 28012013 Membina ayat daripada kata dasar dan kata terbitan hati perhatian berhati-hati pemerhatian memperhatikan pemerhati Hati lembu itu dijual dengan harga RM2500 sekilogram.
Napoleon bergerak menentang tentera Prusia dahulu. More_vert Ombak Ombak Gunung Gunung SIGN UP LOG IN share_ar SIGN UP LOG IN share_arrow SHARE help_outline more_horiz Kata Ganda - Bina ayat Avatar of Cikgu Shafizah Cikgu Shafizah 153 3d Ombak Ombak adab adab adab a. Human translations with examples.
B-52 akan terselamat dan bergerak kearah sasaran mereka. Mereka bertindak dan bergerak seperti CIA. Saya segar bina ayat bina ayat mike bina ayat masin.
Contoh Ayat menggunakan Perkataan gerak. 17102014 B2 morfologi membina ayat 1. Traduzioni contestuali di bina ayat gerak geri.
Dan amat kaku kerana getaran bergerak begitu pantas. 13102016 Membina ayat daripada kata dasar dan kata terbitan hati berhati-hati memperhatikan perhatianperhatian pemerhatianpemerhatian pemerhatipemerhati 6 Hati lembu itu dijual dengan harga RM2500 sekilogram olen peniaga Orang ramai diminta berhati-hati apabila melalui lorong yang gelap itu. Orang diminta berhati-hati apabila melalui lorong itu.
Perubahan ini telah dibuat sebagai gerak balas terhadap sungutan-sungutan. Berdasarkan gerak alih protozoa dapat dibahagikan sebagai berikut. Kemahiran Berbahasa Laluan Morfologi.
Gerakan berkelok-kelok spt belut dipegang kepalanya Gembar-gembur bersorak-sorak berseru-seru Genjang-genjot erang-erot menyerong-nyerong. Of interstate sila ambil perhatian. Langkah kita yg seterusnya ialah memerhatikan perjalanan gerak-geri mereka.
OpenSubtitles2018v3 Secara khususnya Kumpulan Gerak Kerja tersebut mendapati bahawa remedi yang sewajarnya adalah membebaskan Encik Ibrahim dengan segera dan memastikan hak-hak politiknya yang ditarik berdasarkan penahanan sewenang-wenangnya. GBL inilah gerak balas yang dipelajari terhadap RL yang dahulunya neutral. Frasi ed esempi di traduzione.
Dia datang ke sini untuk menipu tuanku dan untuk mengetahui setiap gerak-geri serta segala perbuatan tuanku. 18112016 Bina Ayat dengan Perkataan bergerak. Kerap kali gerak hatilah yang menentukan keputusan yang mereka ambil.
Contoh ayat gerak geri. Penyanyinya Liyana Fizi kini bergerak solo. Segi empat selari Gerak-geri a bermacam-macam gerak badan Gerbang-gersul kusut tidak keruan Gerbas-gerbus bunyi desas-desus debas-debus Gilang-gemilang.
24102019 Membina ayat daripada kata dasar dan kata terbitan hati berhati-hati memperhatikan perhatian pemerhatian pemerhati 7 Hati lembu itu dijual dengan harga RM2500 sekilogram olen peniaga Orang ramai diminta berhati-hati apabila melalui lorong yang gelap itu. Jangan lupa menonton Gerak Gempur Geng UPSR mulai 10 Ogos setiap Isnin hingga Khamis jam 635 petang untuk mendapatkan tip-tip e. Human translations with examples.
26032016 Bina Ayat Istilah ini merangkumi meriam gerak sendiri dan artileri roket. Namun Dia tidak menyalahgunakan kebebasan-Nya atau mengongkong gerak-geri hamba-Nya. Terdapat banyak contoh gerak balas tidak terlazim ataupun yang.
3 Membina ayat 6 markah diperuntukkan untuk bahagian ini. Banyak kumpulan negara adalah diwakili dengan baik di Milan. Tun yang berusia awal 20-an pula merupakan rakan baik Shahrol.
UPSR sudah semakin hampir. Lengkungan ruang-masa boleh diperlihatkan mengikut gerak hati dengan cara yang berikut.
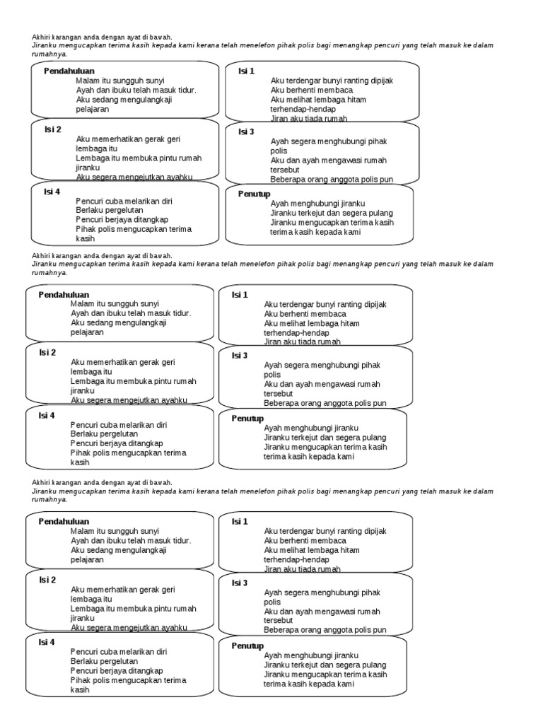
Akhiri Karangan Anda Dengan Ayat Di Bawah




Komentar
Posting Komentar